Organik Kimya Adlandırma Nedir?
Organik kimya adlandırma, karbon temelli bileşenlerin doğru bir şekilde isimlendirilmesi için temel kuralları belirler. Bu süreç, bilimsel iletişimi kolaylaştırarak, bileşiklerin yapısal özelliklerini ve ilişkilerini netleştirir. IUPAC standartları, uluslararası bir geçerlilik sağlayarak, kimyasal bileşenlerin anlaşılabilirliğini artırır.
Organik kimya, karbon temelli bileşiklerin yapısını, özelliklerini, bileşimlerini ve değişimlerini inceleyen bir bilim dalıdır. Bu alandaki bileşiklerin doğru bir şekilde adlandırılması, bilimsel iletişim açısından son derece önemlidir. Organik kimya adlandırması, uluslararası standartlara bağlı kalarak, bileşiklerin yapısal formülünü ve özelliklerini yansıtacak şekilde düzenlenmiştir. Organik Kimya Adlandırma Sistemleri Organik bileşiklerin adlandırılması için çeşitli sistemler ve kurallar bulunmaktadır. Bu sistemlerin en yaygın olanı, Uluslararası Saf ve Uygulamalı Kimya Derneği (IUPAC) tarafından belirlenen adlandırma kurallarıdır. Bu kurallar, organik bileşiklerin sistematik olarak adlandırılmasına olanak tanır.
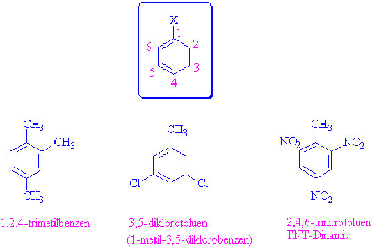
Örnekler ve Uygulamalar Organik bileşiklerin adlandırılması, pratikte pek çok örnek ile açıklanabilir. Örneğin, propan (C3H8) adlandırması, üç karbon atomu içeren basit bir alkandır. Eğer bu bileşikte bir çift bağ varsa, bu durumda adlandırma prop-2-ene şeklinde olacaktır.
Sonuç Organik kimya adlandırma, bilimsel iletişimi kolaylaştırmak ve organik bileşiklerin sistematik bir şekilde tanımlanmasını sağlamak için kritik bir öneme sahiptir. IUPAC kuralları, kimyasal bileşiklerin adlandırılmasında uluslararası bir standart oluşturarak, bilim insanları arasında anlaşılabilirliği artırır. Bu kuralların doğru bir biçimde uygulanması, organik kimyanın temel prensiplerinin kavranmasında önemli bir rol oynamaktadır. Ek Bilgiler Organik kimya adlandırma kuralları, yalnızca akademik çevrelerde değil, aynı zamanda endüstride de büyük bir öneme sahiptir. Kimyasal bileşiklerin doğru adlandırılması, ilaç geliştirme, tarım kimyasalları ve malzeme bilimi gibi birçok alanda kritik bir rol oynamaktadır. Ayrıca, kimya eğitimi alanında da bu adlandırma kurallarının öğretimi, öğrencilerin organik kimya konusundaki anlayışlarını derinleştirmelerine yardımcı olmaktadır. |














.webp)


.webp)
.webp)



.webp)















Organik kimya adlandırma metodunu öğrenirken karbon sayısı ve bağ sayısının belirlenmesi gerçekten karmaşık bir süreç gibi görünebilir. Özellikle halkalı yapılar arasında geçiş yapmakta zorlanabiliyorum. Örneğin, siklohekzan ve siklopentan bileşenleri arasındaki farkları kavramak için belki de her iki yapının da çizimlerini yaparak aralarındaki ilişkiyi görmek daha faydalı olabilir. Bu şekilde, halkalı yapıların nasıl bir form oluşturduğunu ve bu formun karbon sayısını ve bağ sayısını nasıl etkilediğini daha iyi anlamaya başlayabilirim. Bence pratik yaparak bu bileşikleri görmek, soyut bilgileri somut bir hale getirebilir ve öğrenmeyi kolaylaştırabilir. Başka bir yöntem olarak, benzer yapılı bileşikleri karşılaştırarak ele almak da mantıklı olabilir; böylece aralarındaki küçük farkları daha net görebiliriz. Bu konudaki düşünceleriniz veya önerileriniz var mı?
Merhaba Bilgealp,
Organik kimya adlandırma metodlarını öğrenirken karşılaştığın zorluklar oldukça yaygın bir durumdur. Özellikle halkalı yapılar söz konusu olduğunda, bu bileşenlerin birbirleriyle olan ilişkilerini kavramak gerçekten önemli.
Çizim Yapmanın Önemi
Senin de belirttiğin gibi, siklohekzan ve siklopentan gibi bileşenlerin yapısını çizmek, aralarındaki farkları daha iyi anlamana yardımcı olabilir. Görsel öğrenme, birçok kişi için soyut bilgileri somut hale getirmenin en etkili yollarından biridir. Çizim yaparak, her iki yapının da karbon atomları arasındaki bağları ve toplam karbon sayısını görselleştirebilirsin.
Karşılaştırma Yöntemi
Ayrıca, benzer yapılı bileşiklerin karşılaştırılması da faydalı bir yöntemdir. Bu sayede, farklı halkalı yapıların özelliklerini ve bunların adlandırma üzerindeki etkilerini daha net bir şekilde görebilirsin. Örneğin, halkalı yapıların boyutları, bağ sayıları ve hibritleşme durumları, adlandırma ve özelliklerini etkileyen önemli faktörlerdir.
Pratik Yapmanın Önemi
Pratik yaparak öğrenmeyi sürdürmek, bu zorlukların üstesinden gelmene yardımcı olacaktır. Modelleme kitleri veya yazılımlar kullanarak molekülleri oluşturmak da oldukça etkili bir yöntemdir. Böylece, hem teorik bilgilerini pekiştirebilir hem de pratikte nasıl uygulandığını görebilirsin.
Sonuç olarak, bu konudaki düşüncelerin oldukça mantıklı. Gözlem ve pratik yaparak daha fazla deneyim kazanmak, öğrenme sürecini büyük ölçüde kolaylaştıracaktır. Başarılar dilerim!
Organik kimya adlandırma metodunu öğrenirken, karbon sayısı ve bağ sayısının nasıl belirlendiğini nasıl anlayacağım? Özellikle halkalı yapılardaki farklılıkları anlamakta zorlanıyorum; siklohekzan ve siklopentan gibi bileşikleri nasıl daha kolay kavrayabilirim?
Karbon Sayısı ve Bağ Sayısı
Organik kimyada, bir molekülün adlandırılmasında karbon sayısı ve bağ sayısı oldukça önemlidir. Karbon sayısını belirlemek için, öncelikle molekülün yapısındaki karbon atomlarının sayısını saymalısınız. Bağ sayısı ise, karbon atomları arasındaki bağların türünü ve sayısını ifade eder. Tek bağlar, çift bağlar ve üçlü bağlar olmak üzere farklı bağ türleri bulunur. Molekülün yapısında bulunan bağların sayısını ve türünü belirleyerek, bu bilgileri adlandırma sırasında kullanabilirsiniz.
Halkalı Yapılardaki Farklılıklar
Halkalı yapılar, genellikle siklik bileşikler olarak adlandırılır ve bu yapıların adlandırılması, halkadaki karbon atomlarının sayısına ve bağ türlerine bağlıdır. Örneğin, siklohekzan (C6H12) altı karbon atomu içeren bir halkalı yapıdır ve tüm bağlar tek bağdır. Siklopentan (C5H10) ise beş karbon atomu içeren bir halkalı yapıdır. Bu iki bileşiği daha iyi anlayabilmek için, moleküler yapıları çizebilir veya modelleme yapabilirsiniz.
Görselleştirme
Moleküllerin yapısını anlamak için 3D modelleme veya moleküler yapıları çizmek oldukça faydalıdır. Bu şekilde, halkaların nasıl oluşturulduğunu ve karbon atomları arasındaki bağların nasıl yerleştiğini daha iyi kavrayabilirsiniz. Ayrıca, yapısal formüller ile bileşiklerin nasıl göründüğünü anlamak da önemlidir.
Pratik Yapma
Halkalı yapılarla ilgili daha fazla pratik yaparak, farklı bileşiklerin adlandırılmasını ve yapılarını öğrenebilirsiniz. Örneğin, elinizdeki farklı halkalı bileşikleri inceleyerek hangi karbon sayısına ve bağ türlerine sahip olduklarını belirleyebilirsiniz. Bu tür pratikler, konuyu daha iyi anlamanıza yardımcı olacaktır.
Sonuç olarak, karbon sayısını ve bağ sayısını belirlemek için moleküllerin yapılarına dikkat etmeniz ve halkalı yapılar için görselleştirme ve pratik yapmanız önemlidir.